The ability of the thermoelectric modules to operate for power generation or heating-cooling purposes is provided by the thermoelectric effects created by the movement of electrons and the holes in the solid state semiconductor materials inside the module. These effects;
1-) Seebeck Effect
In 1821, Thomas Johann Seebeck set up a closed circuit made of two different metals and formed by joining one ends, and heated the end of the connected point of the circuit. He observed that the compass needle deviated a little due to the effect of heat [1]. This phenomenon is known as the Seebeck effect in thermoelectricity. The Seebeck effect is the direct conversion of the temperature difference into electrical energy by creating a potential difference.

As shown in the figure above, both ends of the A wire are joined by the B wire. A closed circuit is formed by placing a voltmeter between the B wire. It is seen that a potential difference (ΔV) is obtained in the voltmeter when a temperature difference is created between the two ends by applying heat to one of the junction points of this circuit. This potential difference is proportional to the temperature difference and its magnitude is determined by the following equation.

where;
∆T = Th-Tc, αAB = αA-αB and αAB are the difference of Seebeck coefficients (thermoemk) of the thermocouple material and its unit is V/K [2]. Seebeck coefficient is material property and each material has a different Seebeck coefficient. Also, depending on the crystal structure of some materials, the Seebeck coefficient can be positive or negative. Besides, the Seebeck effect is observed when the bonded materials are different. Because when the connected end is heated, in one of the materials, more electrons from the hot side to the cold side have the energy that can exceed the fermi energy level, while the other material will have less. In this way, high-energy electrons that exceed the fermi energy level and can move in free state will circulate inside the materials, and a net potential difference (electron flow) can be obtained depending on the electric field caused by the changing charge distribution at the hot and cold ends in the whole materials. The Seebeck coefficient should be as large as possible to create an efficient thermoelectric effect.
2-) Peltier Effect

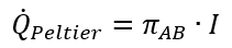
As shown in the figure above, if direct current (DC) is passed through a circuit made of two different wires, while QPeltier heat is dissipated from one end of the wire (heating), (-)QPeltier heat is absorbed from the other end (cooling). This amount of heat is proportional to the amount of current flowing and depending on the direction of the applied electric current, the location of the cold and hot ends can be changed [3,4]. This effect, which was first discovered by Charles Peltier in 1834 and occurred in the opposite of the Seebeck effect, is called the Peltier effect and its magnitude is determined by the following equation.

where, πAB is the Peltier coefficient and this coefficient is a measure of how much heating or cooling can be obtained from the applied DC current. Peltier heating or cooling is reversible between heat and electricity. That is, electricity can be generated with heating or cooling directly without any loss of energy or vice versa [2]. In addition, there are two other factors that affect the cooling power of the system, other than peltier cooling. They work against the Peltier cooling effect and reduce the cooling power of the system. These factors are heat conduction and Joule heating.
3-) Thomson Effect
In addition to Peltier and Seebeck effects, if there is a temperature gradient between any two points of a single conductor and also, a current is passed through this conductor, the Thomson effect occurs. This effect, depending on the flow direction and the material, creates heat at one of the ends, while cooling at the other [2].

The Thomson effect is proportional to both the temperature gradient and the electric current, and its magnitude is expressed by the following equation.

where, τAB is the Thomson coefficient and this coefficient is measured for a single material unlike other thermoelectric coefficients. In addition, Thomson heat is reversible between heat and electricity [2].
4-) Joule Heating and Heat Conduction Effect
The heat generated by a conductor with current flowing is proportional to the square of the current flowing through it and the resistance of the conductor material. The amount of Joule heating per unit time is calculated by the following equation.

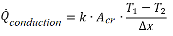
As is known, thermoelectric materials fulfill their task by using the material properties of semiconductor materials. Since these are solid materials, and thermoelectric modules are formed by making solid-solid contact between thermocouples, some heat is transferred from the hot surface to the cold surface by conduction. The magnitude of this amount of heat can be determined by the Fourier heat conduction equation as follows.

References
[1] Allred, D. D., “SCT-93 short course on thermoelectrics: An overview of thermoelectricity’’, Technical Report, The International Thermoelectric Society, (1993).
[2] Lee, H., Thermoelectrics Design and Materials, ABD: John Wiley& Sons Ltd, (2017).
[3] Rowe, D. M., CRC Handbook of Thermoelectrics, ABD: CRC Press LLC, (1995).
[4] Rowe, D. M., Thermoelectric Handbook: Macro to Nano, ABD: Taylor & Francis Group LLC, (2006).